日中貿易専門商社
エス・アール商事株式会社
抗菌に関するよくあるご質問
お問い合わせフォームはこちら
English
MENU
会社情報
製品案内
サービス紹介
新着情報
お問合せ
量産化学品
Guanidine Carbonate
No.MC-52
化学名:
Guanidine Carbonate
CAS No.
593-85-1
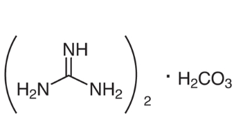
構造式
分子式
C
2
H
10
N
6
·
CH
2
O
3
分子量
121.10
CAS No.
593-85-1
物性値
白色结晶粉末、
純度≥99%
和名
炭酸グアニジン
用途
有機合成原料、合成洗剤の耐湿剤、毛髪軟化剤。
量産化学品一覧に戻る
ログイン(あきばれホームページ)