日中貿易専門商社
エス・アール商事株式会社
抗菌に関するよくあるご質問
お問い合わせフォームはこちら
English
MENU
会社情報
製品案内
サービス紹介
新着情報
お問合せ
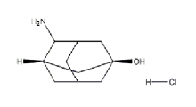
アダマンタンシリーズA
Cis-4-Aminoadamantane-1-ol hydrochloride
No.AMA-37
化学名:Cis-4-Aminoadamantane-1-ol hydrochloride
CAS No.62075-26-7
構造式
分子式
C10H17NO・HCl
分子量
203.71
CAS No.
62075-26-7
物性値
和名
シスー4-アミノアダマンタンー1-オール 塩酸塩
用途
アダマンタンシリーズA一覧に戻る
ログイン(あきばれホームページ)